一、随机环境的定义
在强化学习中,环境(Environment) 指的是智能体所处的世界。智能体通过感知环境状态(state)并执行动作(action),从而获得奖励(reward)并转移到下一个状态。
在前面的讨论中,我们默认环境是确定性的(Deterministic) ——
也就是说,只要智能体采取同样的动作,结果总是一样的。
然而,在很多现实任务中,事情并非如此。
比如机器人在移动过程中,可能因为地面摩擦或风向变化而偏离路线;
或者在金融交易中,同一决策在不同时间可能带来不同收益。
这类具有随机性(Stochasticity) 的环境就被称为——
🎲 随机环境(Stochastic Environment)
在这种环境下,动作的结果不是固定的,而是以一定概率分布(Probability Distribution) 出现。
这意味着:
执行相同的动作,可能到达不同的状态;
获得的奖励也可能不同;
强化学习的目标不再是追求“确定的最大值”,而是最大化期望收益(Expected Return)。

图中展示了一个简化的场景:
一个机器人处在格子世界的第4个位置,
它有两个可能的动作——向左 或 向右。
但即使选择“向左”:
有 90% 的概率真的向左移动;
仍有 10% 的概率会出错,向右走。
这正体现了随机性:
动作的结果并不总是完全可控,而是由环境的不确定性决定。
二、行为与结果的不确定性
在随机环境中,智能体的动作(Action) 不再唯一决定它的下一个状态(Next State)。
即使执行了同样的动作,由于环境具有随机性,智能体也可能到达不同的位置。

在这幅图中,机器人站在格子 4 上:
如果它选择 向左移动(←),
以 0.9 的概率 它确实会向左移动到格子 3;
但仍有 0.1 的概率,它会“走错方向”,反而移动到格子 5。
同样地,如果它选择 向右移动(→),
以 0.9 的概率 它会到达格子 5;
但也有 0.1 的概率 反而会往左回到格子 3。
换句话说,
行动的执行结果,不再是确定的状态转移,而是一个概率分布 P(s′|s,a)。
这时我们不再说:
“执行动作 a 后一定到达状态 s′”,
而应该说:
“执行动作 a 后,有一定概率到达状态 s′”。
这正是随机环境的本质区别。
启示
在这种环境中,强化学习的难度显著提升:
智能体无法通过一次行动就明确评估动作的好坏;
它需要多次交互,通过统计来估计动作的平均回报。
因此,强化学习的目标变成了:
学习一套策略,使得在长期的平均意义下,获得的期望回报(Expected Return) 最大。
三、期望回报(Expected Return)
当环境中存在随机性时,智能体的行动结果和获得的奖励就会带有不确定性。
这时,我们不再追求某一次行动的具体收益,而是要关注它的平均收益——
也就是行动在长期多次执行后,能带来的期望值(Expected Value)。
这就是期望回报(Expected Return)的核心思想。
1. 概念公式
在确定性环境中,我们定义回报(Return)为:

而在随机环境(Stochastic Environment)中,
每次执行动作后获得的 RtRt 并不是固定的,
于是我们取它的期望:

其中:
E[⋅] 表示对随机性的平均;
γ 是折扣因子(Discount Factor),控制未来奖励的重要性;
目标是最大化这一 期望总回报。
2. 图片讲解:Expected Return 示例

图中展示了一个机器人从右向左移动的格子世界。
每个格子可能带来不同的奖励(Reward):
状态 1:奖励 100
状态 6:奖励 40
其他状态:奖励为 0
机器人每次移动都会遇到不同结果,可能走对也可能走错。
于是我们记录下多次执行的结果,求它们的平均值。
在图的下方:

它表示:
多次行动后,所有可能的奖励序列的平均回报。
小结
在确定性环境中,“回报”是一个确定值;
而在随机环境中,“回报”是一个分布。
强化学习智能体要学会估计这一分布的平均值,也就是——
期望回报(Expected Return)。
四、期望贝尔曼方程(Expected Bellman Equation)
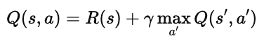
在前面我们学习过确定性环境下的贝尔曼方程:

它表示——
在状态 s 执行动作 a 所得到的回报,等于:
当前立即获得的奖励 R(s),加上
折扣后的下一状态 s′ 的最大价值。
但在随机环境(Stochastic Environment)中,
动作 a 执行后可能导致多个不同的结果,
因此 s′ 不再唯一。
于是我们必须对所有可能的结果求期望。
1. 公式形式
于是,贝尔曼方程被改写为:

也可以写成带转移概率的形式:

其中:
P(s′∣s,a):表示从状态 ss 采取动作 aa 后,转移到 s′s′ 的概率;
Es′:表示对所有可能后续状态的期望;
maxa′Q(s′,a′):表示在下一状态下采取最优动作的回报。
2. 图片讲解:Expected Return 与 Bellman 方程的结合

图中展示了强化学习的最终目标:
学习一个策略 π(s)=a,
让我们在每个状态下选择最优动作,从而最大化期望回报(Expected Return)。
结合随机环境的特性,Bellman 方程被改写为:

它体现了强化学习的三个核心要素:
即时奖励 R(s):当前获得的收益;
未来期望回报 Es′[⋅]:考虑未来可能状态的平均收益;
最优行为选择 maxa′:智能体始终选择让未来最优的行动。
举例理解
假设机器人从状态 3 选择动作 “→”:
它有 90% 的概率到达状态 4,
也有 10% 的概率因为环境波动而回到状态 2。
那么该动作的期望价值就是:

小结
在随机环境中,
贝尔曼方程不仅要考虑最优行为,还要加上概率期望项,
这让智能体学会应对环境不确定性带来的挑战。
✅ 最终目标:
学习能在随机世界中表现最优的策略 π∗(s)。
五、总结:在随机世界中学习决策
在确定性环境中,智能体可以完全预测自己的行动结果;
而在随机环境(Stochastic Environment)中,
即使做出相同的选择,也可能因为环境的变化而产生不同的后果。
因此,强化学习要学会的不再是“哪一步一定最优”,
而是“哪一步在平均意义下期望最优”。
🎯 关键思想回顾
动作的结果是随机的
相同动作可能通往不同状态,用概率 P(s′∣s,a)P(s′∣s,a) 来描述。智能体的目标是最大化期望回报
它不追求每次都获得最大收益,而是让长期的平均收益最高。贝尔曼方程引入期望项
在随机环境中,状态转移需要考虑所有可能结果的加权平均:
💡 启示
随机性让强化学习更贴近真实世界:
无论是自动驾驶、推荐系统还是机器人控制,
都无法保证每个动作的结果完全一致。
贝尔曼方程的“期望形式”让智能体能够在这种不确定性中学会稳定的决策策略。
✅ 简而言之:
随机性不是障碍,而是智能体学习“概率意义上的智慧”的开始。