一、K-means 优化目标与代价函数

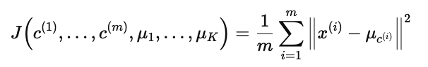
符号说明(图左)
c(i):样本 x(i) 当前被分配到的簇索引,取值为 1,2,…,K。
μk:第 k 个簇的中心(centroid)。
μc(i):样本 x(i) 所在簇的中心,即由 c(i) 指定的那个 μk。
代价函数(图中 “Cost function”)

式中 m 为样本总数;∥x(i)−μc(i)∥2 是第 i 个样本到其簇中心的距离平方。
红色箭头在式子里标出的是 x(i) 与 μc(i);蓝色箭头与红字 Distortion 标明整项为“失真/畸变”。
前面的 1/m 表示取平均。
优化目标(图下 “min …”)

含义:同时选择所有样本的簇分配 c(i) 和各簇中心 μk,使上面的平均距离平方(失真)最小。
二、样本分配与簇中心的代价函数示意图

图中有两类点:红色实心点和蓝色空心点,分别属于两个不同簇。
红色叉号和蓝色叉号表示两个簇的中心(μ1,μ2)。
每个点通过一条箭头连接到对应的簇中心,表示样本 x(i) 被分配到该簇,计算的是它与簇中心的距离。
图右边的公式 J(c(1),…,c(30),μ1,μ2) 表示总代价函数:这里共有 30 个样本(从 c(1) 到 c(30)),并且有两个簇中心。
整幅图展示了 样本与簇中心的对应关系,以及如何用这些关系计算代价函数 J。
三、K-means 中簇中心更新与代价降低示意

上方公式:展示了 K-means 的代价函数

其中每个样本与其所属簇中心的距离平方会被计算并取平均。
左下伪代码:说明算法的两个重复步骤
Assign points:对于每个样本 x(i),找到离它最近的簇中心,并将它分配给该簇,即更新 c(i)。
Move centroids:对于每个簇 k,将中心 μk 更新为该簇中所有样本的平均值。
右侧示意图:
黑点是样本 x(i)。
蓝色和红色叉号分别代表两个簇的中心。
图中显示了样本与两个中心的距离:到蓝色中心的距离为 6,到红色中心的距离为 2。
因为红色中心更近,样本会被分配给红色簇。

图中元素:
两个黑点代表两个样本。
中间的叉号是簇中心的位置。
红色情况下,簇中心偏向左边,两个点到中心的距离分别是 1 和 9,对应代价为
(1/2)(12+92)=41。蓝色情况下,簇中心在中间,两个点到中心的距离均为 5,对应代价为
(1/2)(52+52)=25。
右侧公式:展示了不同中心位置时的代价计算。比较结果可以看到,把簇中心移到两个样本的中间,代价更小。